- 产品名称
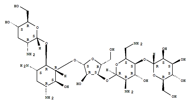
- 浏阳霉素
- CAS NO
- 36441-41-5
- 中文别名
- 英文名称
- D-Streptamine, O-a-D-mannopyranosyl-(1®4)-O-2,6-diamino-2,6-dideoxy-b-L-idopyranosyl-(1®3)-O-b-D-ribofuranosyl-(1®5)-O-[2-amino-2,3-dideoxy-a-D-ribo-hexopyranosyl-(1®4)]-2-deoxy-
- 英文别名
- D-Streptamine,O-2-amino-2,3-dideoxy-a-D-ribo-hexopyranosyl-(1®4)-O-[O-a-D-mannopyranosyl-(1®4)-O-2,6-diamino-2,6-dideoxy-b-L-idopyranosyl-(1®3)-b-D-ribofuranosyl-(1®5)]-2-deoxy-; Antibiotic 503-2; Antibiotic SF 767A;Lividomycin A; Quintomycin B; SF 767A
- 分子式
- C29H55N5O18
- 分子量
- 859.85
- EINECS
- 熔点
- 沸点
- 1068.2oC at 760mmHg
- 毒性
- 公司规模
-
- 认证信息
-
- 公司类型
- 贸易商
- 所在地区
- 江苏省 苏州
- 联系人
- 吴
- 电 话
- 15195660023
- QQ
- 地 址