返回产品详情

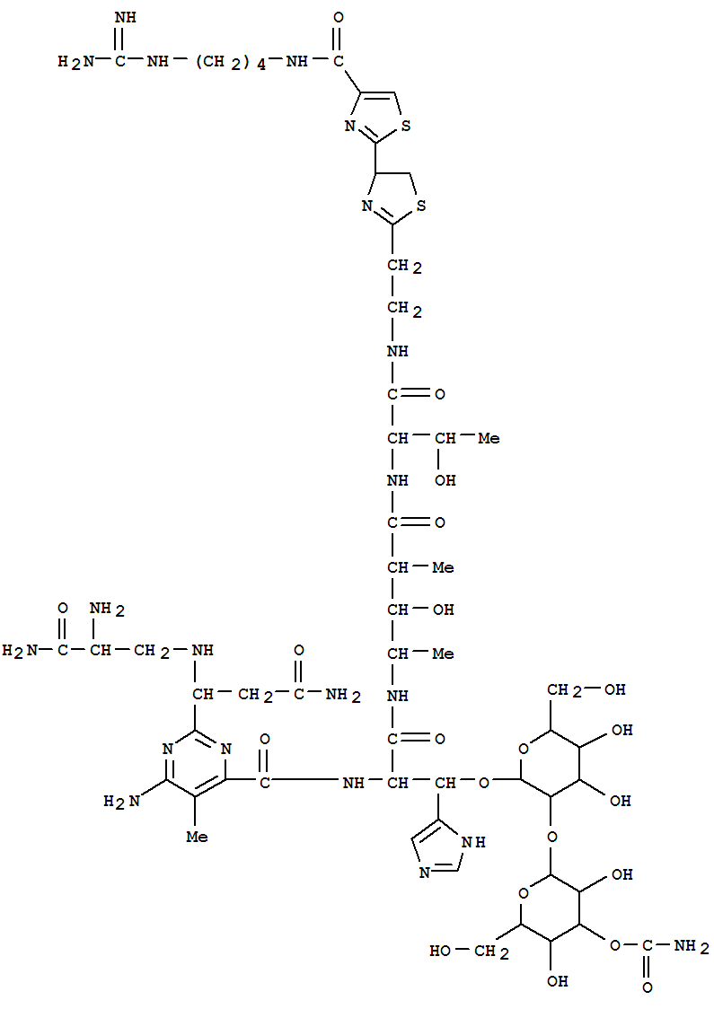
11031-11-1

11031-11-1

苏州市森菲达化工有限公司

江苏省 苏州

产品名称
ZEOCIN
CAS NO
11031-11-1
中文别名
英文名称
Bleomycinamide,N1-[4-[(aminoiminomethyl)amino]butyl]-7,8-dihydro-
英文别名
PhleomycinD1; Zeocin; Zeocine
分子式
C55H86N20O21S2
分子量
0
EINECS
熔点
沸点
毒性
@2009-2026 洛克化工网 浙ICP备16009103号