- 产品名称
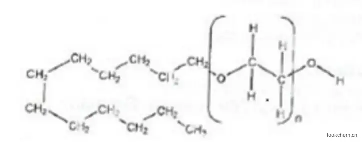
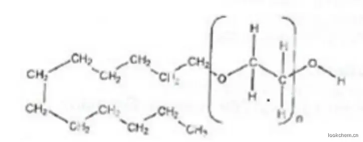
- 聚醚醇
- CAS NO
- 3055-99-0
- 中文别名
- 月桂醇聚醚-9;单十二烷基九乙二醇醚
- 英文名称
- 3,6,9,12,15,18,21,24,27-Nonaoxanonatriacontan-1-ol
- 英文别名
- C12E9; Do9/R3; Ethanol, 2-[2-[2-[2-[2-[2-[2-[2-[2-(dodecyloxy)ethoxy]ethoxy]ethoxy]ethoxy]ethoxy]ethoxy]ethoxy]ethoxy]-;Nonaethylene glycol monododecyl ether; Nonaoxyethylene monododecyl ether
- 分子式
- C30H62O10
- 分子量
- 582.81
- EINECS
- 221-284-4
- 熔点
- 33-36oC
- 沸点
- 615.9oC at 760mmHg
- 毒性
我国静脉曲张发病率高达20%,患病人群超过2亿。据统计,一般25~36岁开始出现症状,40岁以上高发。
用途:用于聚多卡醇注射液,注射液用于静脉曲张的治疗,适应症为适用于蜘蛛网样静脉的中心静脉、网状静脉及小静脉曲张的硬化治疗。
属于一种硬化剂,通过注射进入静脉后,会破坏血管内皮细胞,引发血管内的炎症反应,使静脉血管收缩、闭塞,最终被纤维组织替代,从而达到治疗静脉曲张的目的。
这种治疗方法相对比较简单,在临床应用中可以有效改善患者静脉的外观和症状,减轻腿部的疼痛、沉重感等不适症状。
.
- 公司规模
- 11-50人
- 认证信息
-
- 公司类型
- 贸易商
- 所在地区
- 山东省 济南
- 联系人
- 王
- 电 话
- 18615637112
- QQ
- 地 址