品名:加替沙星
CAS NO:180200-66-2
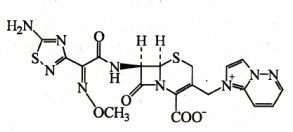
品名:头孢唑兰
CAS NO:13359-04-9
品名:泰诺福韦
CAS NO:147127-20-6
品名:2-氨基-1,3-丙二醇
CAS NO:534-03-2