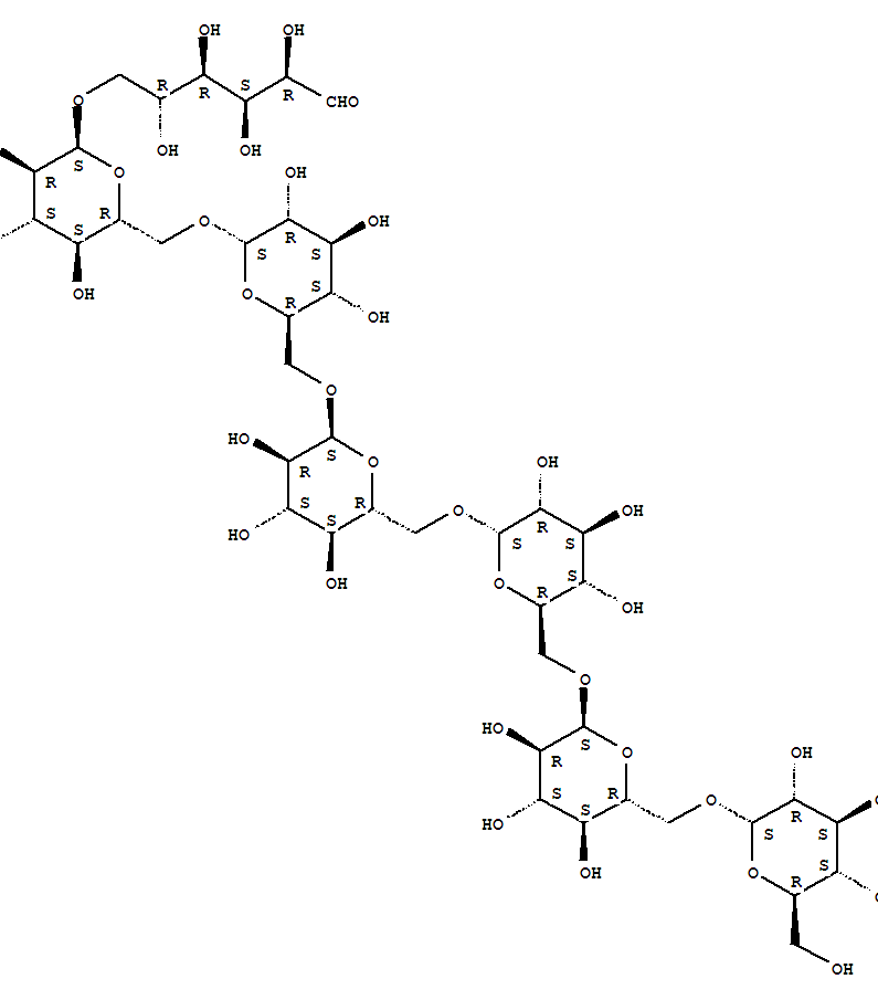
- 产品名称
- 异麦芽七糖
- CAS NO
- 6513-12-8
- 中文别名
- 英文名称
- D-Glucose, O-a-D-glucopyranosyl-(1®6)-O-a-D-glucopyranosyl-(1®6)-O-a-D-glucopyranosyl-(1®6)-O-a-D-glucopyranosyl-(1®6)-O-a-D-glucopyranosyl-(1®6)-O-a-D-glucopyranosyl-(1®6)-
- 英文别名
- Isomaltoheptaose(6CI,7CI)
- 分子式
- C42H72O36
- 分子量
- 0
- EINECS
- 熔点
- 沸点
- 1473.5±65.0 °C(Predicted)
- 毒性
成都乐美天医药科技有限公司专业从事中药物质基础研究及天然化合物纯化分离、中药化学对照品实物生产供应,欢迎您的咨询留言!