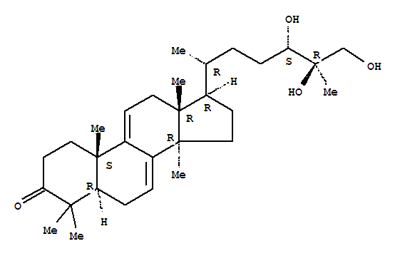
- 产品名称
- 灵芝马酮
- CAS NO
- 106518-63-2
- 中文别名
- 灵芝马酮
- 英文名称
- Lanosta-7,9(11)-dien-3-one,24,25,26-trihydroxy-, (24S,25R)-
- 英文别名
- (+)-Ganodermanontriol;Ganodermanontriol
- 分子式
- C30H48O4
- 分子量
- 472.70000
- EINECS
- 熔点
- 沸点
- 623.2oC at 760 mmHg
- 毒性
中文名称:灵芝马酮
纯度:HPLC≥98%
保存温度:2-8℃
英文名称:Ganodermanontriol
分子式: C30H48O4
- 公司规模
- 11-50人
- 认证信息
-
- 公司类型
- 贸易商
- 所在地区
- 浙江省 嘉兴
- 联系人
- 徐经理
- 电 话
- 13305733238
- QQ
- 地 址