返回产品详情

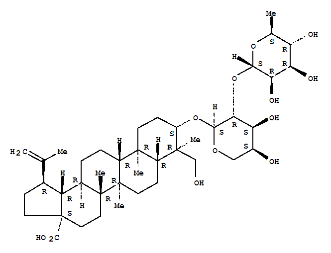
白头翁皂苷A3

白头翁皂苷A3

山东默派生物科技有限公司

山东省 淄博

产品名称
白头翁皂苷A
CAS NO
129724-84-1
中文别名
英文名称
Lup-20(29)-en-28-oicacid, 3-[[2-O-(6-deoxy-a-L-mannopyranosyl)-a-L-arabinopyranosyl]oxy]-23-hydroxy-, (3b,4a)-
英文别名
AnemosideA3; Pulchinenoside A
分子式
C41H66O12
分子量
750.95600
EINECS
熔点
228-230 °C
沸点
846.3±65.0 °C(Predicted)
毒性
@2009-2026 洛克化工网 浙ICP备16009103号