- 产品名称
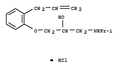
- L-阿普洛尔盐酸水合物
- CAS NO
- 13707-88-5
- 中文别名
- 1-[(1-甲基乙基)氨基]-3-[2-(2-丙烯基)苯氧基]-2-丙醇;心得舒;阿普洛尔盐酸盐;烯丙心胺;盐酸阿普洛尔
- 英文名称
- 2-Propanol,1-[(1-methylethyl)amino]-3-[2-(2-propen-1-yl)phenoxy]-, hydrochloride (1:1)
- 英文别名
- 2-Propanol,1-(o-allylphenoxy)-3-(isopropylamino)-, hydrochloride (8CI); 2-Propanol,1-[(1-methylethyl)amino]-3-[2-(2-propenyl)phenoxy]-, hydrochloride (9CI); (?à)-1-(o-Allylphenoxy)-3-isopropylamino-2-propanolhydrochloride; (?à)-Alprenololhydrochloride; 1-(2-Allylphenoxy)-2-hydroxy-3-isopropylaminopropanehydrochloride; 1-(o-Allylphenoxy)-3-(isopropylamino)-2-propanol hydrochloride;Alfeprol; Alprenolol hydrochloride; Apllobal; Applobal; Aprobal; Aptin; Aptine;Aptol Duriles; Betaptin; DL-1-(o-Allylphenoxy)-3-isopropylamino-2-propanolhydrochloride; Dimacor; Gubernal; H 56/28; Regletin; Yobir; dl-Alprenololchloride
- 分子式
- C15H23NO2.ClH
- 分子量
- 285.81
- EINECS
- 237-244-4
- 熔点
- 108°C to 112°C.
- 沸点
- 383.4 °C at 760 mmHg
- 毒性
Alprenolol Hydrochloride, Powder
- 公司规模
- 11-50人
- 认证信息
-
洛克
- 公司类型
- 贸易商
- 所在地区
- 上海市 上海
- 联系人
- spectrum china sales
- 电 话
- 021-67601398
- QQ
- 3003443156
- 地 址
- 上海市松江区申港路3802弄A20办公楼