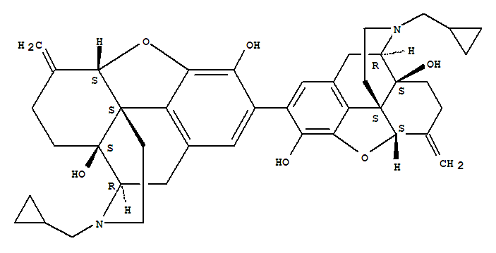
- 产品名称
- 2,2`-双纳美芬
- CAS NO
- 176220-84-1
- 中文别名
- 2,2`-双纳美芬;纳美芬杂质;盐酸纳美芬杂质(含二聚物);纳美芬二聚体
- 英文名称
- [2,2'-Bimorphinan]-3,3',14,14'-tetrol,17,17'-bis(cyclopropylmethyl)-4,5:4',5'-diepoxy-6,6'-bis(methylene)-, (5a)-(5'a)- (9CI)
- 英文别名
- 2,2'-Bis(6-deoxo-6-methylenenaltrexone);2,2'-Bisnalmefene
- 分子式
- C42H48N2O6
- 分子量
- 0
- EINECS
- 熔点
- 266-268°C
- 沸点
- °Cat760mmHg
- 毒性
英文名:(4R,4''R,5S,5''S,9S,9''S,17S,17''S)-3,3''-bis(cyclopropylmethyl)-8,8''-dimethylene-1,1'',2,2'',3,3'',4,4'',5,5'',6,6'',7,7'',8,8'',9,9'',18,18''-icosahydro-[13,13''-bi(4,12-methanobenzofuro[3,2-e]isoquinoline)]-5,5'',12,12''-tetraol;HPLC纯度大于98%,NMR,MASS确证