返回产品详情

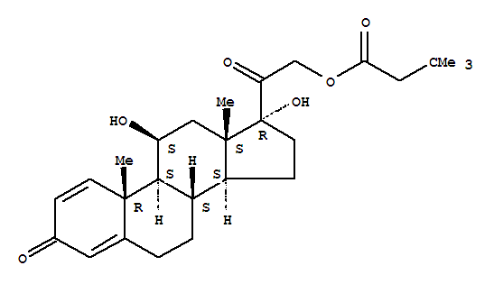
丁乙酸泼尼松龙

丁乙酸泼尼松龙

太原瑞和丰科贸有限公司

山西省 太原

产品名称
丁乙酸泼尼松龙; 丁乙酸氢化泼尼松
CAS NO
7681-14-3
中文别名
Prednisolone butyl acetete; 11b,17,21-Trihydroxypregna-1,4-diene-3,20-dione 21-(3,3-dimethylbutyrate)
英文名称
Pregna-1,4-diene-3,20-dione,21-(3,3-dimethyl-1-oxobutoxy)-11,17-dihydroxy-, (11b)-
英文别名
Pregna-1,4-diene-3,20-dione,11b,17,21-trihydroxy-,21-(3,3-dimethylbutyrate) (6CI,7CI,8CI); Butyric acid, 3,3-dimethyl-, 21-esterwith 11b,17,21-trihydroxypregna-1,4-diene-3,20-dione(8CI); 11b,17,21-Trihydroxypregna-1,4-diene-3,20-dione21-(3,3-dimethylbutyrate); Codelcortone TBA; Hydeltra TBA; Predalone TBA;Prednisolone 21-tert-butylacetate; Prednisolone TBA; Prednisolone tebutate;Prednisolone tert-butylacetate
分子式
C27H38O6
分子量
458.59
EINECS
231-661-5
熔点
266-273°
沸点
606.7 °C at 760 mmHg
毒性
@2009-2026 洛克化工网 浙ICP备16009103号