返回产品详情

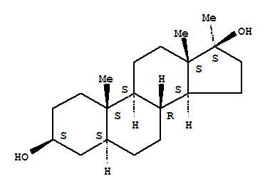
17α-甲基-5α-雄甾-3β,17β-二醇

17α-甲基-5α-雄甾-3β,17β-二醇

太原瑞和丰科贸有限公司

山西省 太原

产品名称
17Α-甲基-5Α-雄甾-3Β,17Β-二醇
CAS NO
641-83-8
中文别名
英文名称
Androstane-3,17-diol,17-methyl-, (3b,5a,17b)-
英文别名
5a-Androstane-3b,17b-diol, 17-methyl- (6CI,7CI,8CI); 17-Methyl-5a-androstane-3b,17b-diol; 17a-Methyl-17b-hydroxy-5a-androstan-3b-ol; 17a-Methyl-5a-androstan-3b,17b-diol; 17a-Methyl-5a-androstane-3b,17b-diol; 17a-Methylandrost-4-ene-3b,17b-diol; 17a-Methylandrostan-3b-17b-diol; 17b-Hydroxy-17a-methyl-5a-androstan-3b-ol; 5a-Androstane-17a-methyl-3b,17b-diol; NSC 118175
分子式
C20H34O2
分子量
306.48276
EINECS
熔点
206-209 °C
沸点
418.1°C at 760 mmHg
毒性
@2009-2026 洛克化工网 浙ICP备16009103号