返回产品详情

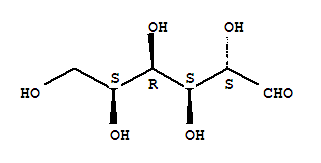
L-古洛糖

L-古洛糖

苏州鸿洋医药科技有限公司

江苏省 苏州

产品名称
古洛糖
CAS NO
6027-89-0
中文别名
L-(+)-古洛糖
英文名称
L-Gulose
英文别名
Gulose, L-(8CI)
分子式
C6H12O6
分子量
180.16
EINECS
227-897-3
熔点
132oC
沸点
410.8oC at 760 mmHg
毒性
@2009-2026 洛克化工网 浙ICP备16009103号