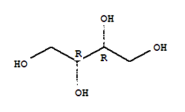
- 产品名称
- DL-苏糖醇
- CAS NO
- 7493-90-5
- 中文别名
- DL-苏糖醇;DL-1,2,3,4-丁四醇
- 英文名称
- 1,2,3,4-Butanetetrol,(2R,3R)-rel-
- 英文别名
- 1,2,3,4-Butanetetrol,(R*,R*)-; Threitol (6CI,7CI,8CI); (?à)-Threitol; DL-Tetritol; DL-Threitol; NSC 20660; Threit
- 分子式
- C4H10O4
- 分子量
- 0
- EINECS
- 熔点
- 沸点
- 毒性
产品名称:DL-苏糖醇
CAS登录号:7493-90-5
英文名称:DL-Threitol
分子式:C4H10O4