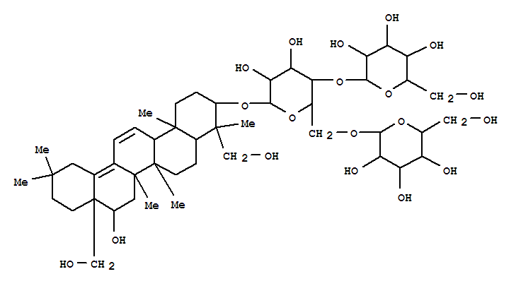
- 产品名称
- 断血流皂苷 A
- CAS NO
- 142809-89-0
- 中文别名
- 断血流皂苷A
- 英文名称
- b-D-Glucopyranoside, (3b,4a,16b)-16,23,28-trihydroxyoleana-11,13(18)-dien-3-yl O-b-D-glucopyranosyl-(1®4)-O-[b-D-glucopyranosyl-(1®6)]-
- 英文别名
- ClinopodisideA
- 分子式
-
C48H78O19
- 分子量
- 959.12
- EINECS
- 熔点
- 沸点
- 1073.2°C at 760 mmHg
- 毒性
【名称】断血流皂苷A
【别名】醉鱼草皂苷Ⅳb
【英文名】Clinodiside A
【分子式】C48H78O19
【分子量】959.12
【CAS号】916347-31-4
【检测方式】高效液相色谱法HPLC≥98%
【规格】可根据客户需求包装
【规格】20mg/支
【纯度】HPLC≥98%
【作用与用途】用于含量测定/鉴定/药理实验等。
【提取来源】唇形科荫风轮干燥地上部分