返回产品详情

醋酸依来多辛

醋酸依来多辛

无锡亚肽生物科技

江苏省 无锡

产品名称
依来多辛
CAS NO
69-25-0
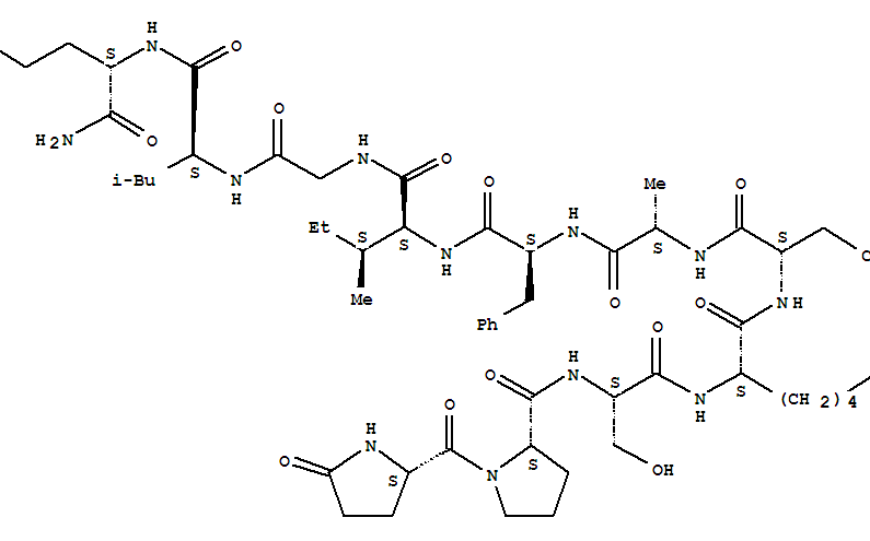
中文别名
5-Oxo-L-prolyl-L-prolyl-L-seryl-L-lysyl-L-aspartyl-L-alanyl-L-phenylalanyl-L-isoleucylglycyl-L-leucyl-L-methioninamide
英文名称
Eledoisin
英文别名
59: PN:US20050009742 PAGE: 20 claimed sequence; ELD 950; Eledone peptide; FI 6225TF/OCOA; L-Methioninamide, 5-oxo-L-prolyl-L-prolyl-L-seryl-L-lysyl-L-a-aspartyl-L-alanyl-L-phenylalanyl-L-isoleucylglycyl-L-leucyl-
分子式
C54H85N13O15S
分子量
1188.40
EINECS
安全数据
熔点
230 °C (decomp)
沸点
1618.1oC at 760 mmHg
毒性
@2009-2026 洛克化工网 浙ICP备16009103号