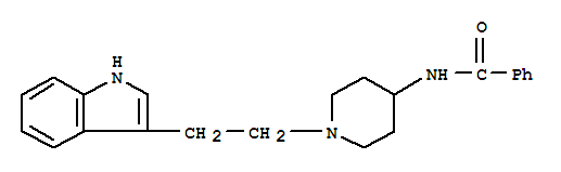
- 产品名称
- 吲哚拉明
- CAS NO
- 26844-12-2
- 中文别名
- 吲哚拉明;吲哌胺
- 英文名称
- Indoramin
- 英文别名
- Indoramine;N-[1-[2-(1H-Indol-3-yl)ethyl]piperidin-4-yl]benzamide
- 分子式
- C22H25N3O
- 分子量
- 0
- EINECS
- 熔点
- 208-210°
- 沸点
- 600°Cat760mmHg
- 毒性
- 公司规模
-
- 认证信息
-
- 公司类型
- 贸易商
- 所在地区
- 广东省 广州
- 联系人
- 陈凡
- 电 话
- 020-87687760
- QQ
- 地 址
- 广州市先烈中路100号大院9号楼1002房