返回产品详情

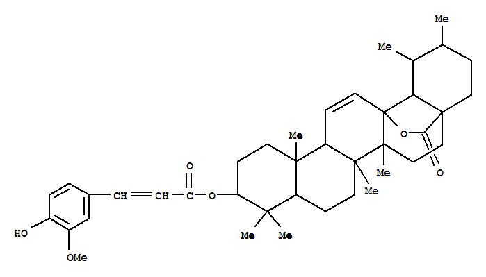
细叶桉萜酯 A

细叶桉萜酯 A

云南西力生物技术有限公司

云南省 昆明

产品名称
TERETICORNATE A
CAS NO
149751-81-5
中文别名
英文名称
Urs-11-en-28-oic acid,13-hydroxy-3-[[(2E)-3-(4-hydroxy-3-methoxyphenyl)-1-oxo-2-propenyl]oxy]-, g-lactone, (3b)- (9CI)
英文别名
Urs-11-en-28-oicacid, 13-hydroxy-3-[[3-(4-hydroxy-3-methoxyphenyl)-1-oxo-2-propenyl]oxy]-, g-lactone, [3b(E)]-;2H,5H-14a,4a-(Epoxymethano)picene, urs-11-en-28-oic acid deriv.; TereticornateA
分子式
C40H54O6
分子量
630.85
EINECS
熔点
沸点
715.5±60.0 °C(Predicted)
毒性
@2009-2026 洛克化工网 浙ICP备16009103号