返回

河南省2-硝基-1-(噁丙环-2-基甲基)-1H-咪唑

关于河南省2-硝基-1-(噁丙环-2-基甲基)-1H-咪唑的推荐说明

尊敬的小主:非常抱歉,纵然我使出洪荒之力,但未匹配到河南省地区 2-硝基-1-(噁丙环-2-基甲基)-1H-咪唑产品的供应商信息。不过请您不要失望,因为洛克化工网为您推荐了2-硝基-1-(噁丙环-2-基甲基)-1H-咪唑产品其他地区的优质供应商,同时还为您提供了2-硝基-1-(噁丙环-2-基甲基)-1H-咪唑产品的基本理化性质、上下游产品、相关的市场资讯行情信息等。希望能让小主满意,洛克化工网也会继续努力,争取您下一次的搜索会是更完美的结果。

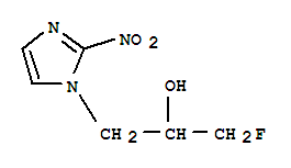
2-硝基-1-(噁丙环-2-基甲基)-1H-咪唑的基本信息

中文名:
2-硝基-1-(噁丙环-2-基甲基)-1H-咪唑
CAS NO.:
13551-90-1
分子式:
C6H7N3O3
溶点:
50-55°C
中文别名:
2-硝基-1-(噁丙环-2-基甲基)-1H-咪唑;
1-(2,3-Epoxypropyl)-2-nitroimidazole
EINECS号:
分子量:
169.13800
沸点:
393.4°Cat760mmHg
推荐其他地区供应商
区域:浙江省 年限:2018年
联系人:
电话:0571-87157530
手机:18049756717

关于河南省2-硝基-1-(噁丙环-2-基甲基)-1H-咪唑的行情资讯

@2009-2026 洛克化工网 浙ICP备16009103号