返回

吉林省泻鼠李皮苷A

关于吉林省泻鼠李皮苷A的推荐说明

尊敬的小主:非常抱歉,纵然我使出洪荒之力,但未匹配到吉林省地区 泻鼠李皮苷A产品的供应商信息。不过请您不要失望,因为洛克化工网为您推荐了泻鼠李皮苷A产品其他地区的优质供应商,同时还为您提供了泻鼠李皮苷A产品的基本理化性质、上下游产品、相关的市场资讯行情信息等。希望能让小主满意,洛克化工网也会继续努力,争取您下一次的搜索会是更完美的结果。

泻鼠李皮苷A的基本信息

中文名:
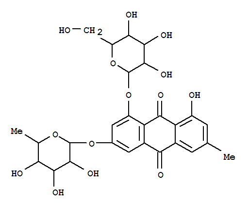
泻鼠李皮苷A
CAS NO.:
521-62-0
分子式:

C21H20O9

溶点:
230°C
中文别名:
泻鼠李皮苷;大黃苷A;大黃素鼠李糖苷
EINECS号:
208-316-2
分子量:
416.38
沸点:
744.3 °C at 760 mmHg
推荐其他地区供应商
区域:江苏省 年限:2024年
联系人:李珊
电话:18251890384
手机:18251890384
区域:四川省 年限:2021年
联系人:
电话:028-85003950
手机:17313084125
区域:上海市 年限:2018年
联系人:Shirley张
电话:021-57520831
手机:18116052675
推荐上/下游

关于吉林省泻鼠李皮苷A的行情资讯

@2009-2026 洛克化工网 浙ICP备16009103号