返回

宁夏回族自治区二溴甘露醇

关于宁夏回族自治区二溴甘露醇的推荐说明

尊敬的小主:非常抱歉,纵然我使出洪荒之力,但未匹配到宁夏回族自治区地区 二溴甘露醇产品的供应商信息。不过请您不要失望,因为洛克化工网为您推荐了二溴甘露醇产品其他地区的优质供应商,同时还为您提供了二溴甘露醇产品的基本理化性质、上下游产品、相关的市场资讯行情信息等。希望能让小主满意,洛克化工网也会继续努力,争取您下一次的搜索会是更完美的结果。

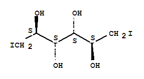
二溴甘露醇的基本信息

中文名:
二溴甘露醇
CAS NO.:
488-41-5
分子式:
C6H12Br2O4
溶点:
176-178°
中文别名:
二溴甘露醇
EINECS号:
分子量:
308.00
沸点:
511.2°Cat760mmHg
推荐其他地区供应商
区域:湖北省 年限:2019年
联系人:张经理
电话:027-59209883
手机:17386169806
区域:山东省 年限:2024年
联系人:张经理
电话:15666366704
手机:15666366704

关于宁夏回族自治区二溴甘露醇的行情资讯

@2009-2026 洛克化工网 浙ICP备16009103号