返回

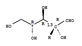
山西省D-阿拉伯糖-1-13C

关于山西省D-阿拉伯糖-1-13C的推荐说明

尊敬的小主:非常抱歉,纵然我使出洪荒之力,但未匹配到山西省地区 D-阿拉伯糖-1-13C产品的供应商信息。不过请您不要失望,因为洛克化工网为您推荐了D-阿拉伯糖-1-13C产品其他地区的优质供应商,同时还为您提供了D-阿拉伯糖-1-13C产品的基本理化性质、上下游产品、相关的市场资讯行情信息等。希望能让小主满意,洛克化工网也会继续努力,争取您下一次的搜索会是更完美的结果。

D-阿拉伯糖-1-13C的基本信息

中文名:
D-阿拉伯糖-1-13C
CAS NO.:
70849-23-9
分子式:
C5H10O5
溶点:
163-165 °C(lit.)
中文别名:
D-阿拉伯糖-1-13C
EINECS号:
分子量:
151.14
沸点:

关于山西省D-阿拉伯糖-1-13C的行情资讯

@2009-2026 洛克化工网 浙ICP备16009103号