返回

西藏自治区甲基泼尼松龙琥珀酸酯

关于西藏自治区甲基泼尼松龙琥珀酸酯的推荐说明

尊敬的小主:非常抱歉,纵然我使出洪荒之力,但未匹配到西藏自治区地区 甲基泼尼松龙琥珀酸酯产品的供应商信息。不过请您不要失望,因为洛克化工网为您推荐了甲基泼尼松龙琥珀酸酯产品其他地区的优质供应商,同时还为您提供了甲基泼尼松龙琥珀酸酯产品的基本理化性质、上下游产品、相关的市场资讯行情信息等。希望能让小主满意,洛克化工网也会继续努力,争取您下一次的搜索会是更完美的结果。

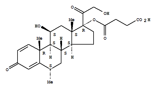
甲基泼尼松龙琥珀酸酯的基本信息

中文名:
甲基泼尼松龙琥珀酸酯
CAS NO.:
2921-57-5
分子式:
C26H34O8
溶点:
中文别名:
11beta,17,21-Trihydroxy-6alpha-methylpregna-1,4-diene-3,20-dione 21-(hydrogen succinate)
EINECS号:
220-863-9
分子量:
474.55
沸点:
689.6oC at 760mmHg
推荐其他地区供应商
区域:山东省 年限:2023年
联系人:谭经理
电话:13070690626
手机:13070690626
区域:上海市 年限:2018年
联系人:Shirley张
电话:021-57520831
手机:18116052675
区域:山东省 年限:2016年
联系人:
电话:15725413579
手机:

关于西藏自治区甲基泼尼松龙琥珀酸酯的行情资讯

@2009-2026 洛克化工网 浙ICP备16009103号