返回

新疆维吾尔自治区O-叔-丁基羰基HU210

关于新疆维吾尔自治区O-叔-丁基羰基HU210的推荐说明

尊敬的小主:非常抱歉,纵然我使出洪荒之力,但未匹配到新疆维吾尔自治区地区 O-叔-丁基羰基HU210产品的供应商信息。不过请您不要失望,因为洛克化工网为您推荐了O-叔-丁基羰基HU210产品其他地区的优质供应商,同时还为您提供了O-叔-丁基羰基HU210产品的基本理化性质、上下游产品、相关的市场资讯行情信息等。希望能让小主满意,洛克化工网也会继续努力,争取您下一次的搜索会是更完美的结果。

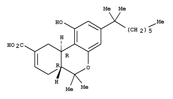
O-叔-丁基羰基HU210的基本信息

中文名:
O-叔-丁基羰基HU210
CAS NO.:
113418-02-3
分子式:
C30H46O4
溶点:
中文别名:
EINECS号:
分子量:
470.68400
沸点:
513.3±50.0 °C(Predicted)

关于新疆维吾尔自治区O-叔-丁基羰基HU210的行情资讯

@2009-2026 洛克化工网 浙ICP备16009103号