返回

云南省25-羟基维生素D3

关于云南省25-羟基维生素D3的推荐说明

尊敬的小主:非常抱歉,纵然我使出洪荒之力,但未匹配到云南省地区 25-羟基维生素D3产品的供应商信息。不过请您不要失望,因为洛克化工网为您推荐了25-羟基维生素D3产品其他地区的优质供应商,同时还为您提供了25-羟基维生素D3产品的基本理化性质、上下游产品、相关的市场资讯行情信息等。希望能让小主满意,洛克化工网也会继续努力,争取您下一次的搜索会是更完美的结果。

25-羟基维生素D3的基本信息

中文名:
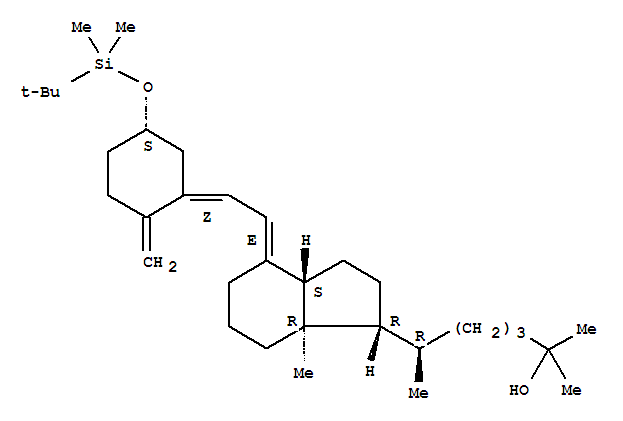
25-羟基维生素D3
CAS NO.:
19356-17-3
分子式:

C27H44O2

溶点:
74-76oC
中文别名:
25-羟基维生素D3晶状固体;骨化二醇
EINECS号:
242-990-9
分子量:
400.64
沸点:
529.2oC at 760 mmHg
推荐其他地区供应商
区域:湖北省 年限:2019年
联系人:方经理
电话:027-59206672
手机:18327059871
区域:上海市 年限:2010年
联系人:缪小姐
电话:021-51320588-8035/8028/8026
手机:13381604842
区域:山东省 年限:2023年
联系人:谭经理
电话:13053322091
手机:13053322091

关于云南省25-羟基维生素D3的行情资讯

@2009-2025 洛克化工网 浙ICP备16009103号