返回
首页
客服小蜜
会员中心
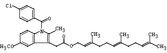
85801-02-1(吲哚美辛法呢酯)
区域选择
北京市
天津市
河北省
山西省
内蒙古自治区
辽宁省
吉林省
黑龙江省
上海市
江苏省
浙江省
安徽省
福建省
江西省
山东省
河南省
湖北省
湖南省
广东省
广西壮族自治区
海南省
重庆市
四川省
贵州省
云南省
西藏自治区
陕西省
甘肃省
青海省
宁夏回族自治区
新疆维吾尔自治区
台湾省
香港特别行政区
澳门
吲哚美辛法呢酯
85801-02-1
查看更多信息
推荐供应商
推广
1-(4-氯苯甲酰基)-5-甲氧基-2-甲基-1-吲哚-3-乙酸3,7,11-三甲基-2,6,10-十二碳三烯酯
区域:上海市
年限:2018年
证
联系人:
Shirley张
电话:021-57520831
手机:18116052675
发布询盘
推广
3,7,11-三甲基十二碳-2,6,10-三烯-1-基 2-(1-(4-氯苯甲酰基)-5-甲氧基-2-甲基-1H-吲哚-3-基)乙酸酯
区域:湖北省
年限:2012年
证
联系人:
刘涛
电话:027-59101766
手机:13125137661
发布询盘
首页
上一页
下一页
尾页
为您推荐
“85801-02-1”
的上下游产品
关于我们
联系我们
产品目录
化工百科
@2009-2026 洛克化工网 浙ICP备16009103号