返回产品详情

144765-80-0

144765-80-0

范德(北京)生物科技有限责任公司

现货 北京市 北京

产品名称
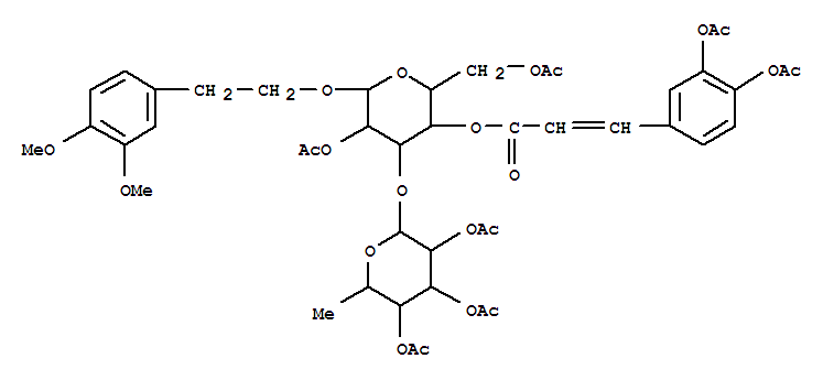
BRACHYNOSIDE HEPTAACETATE
CAS NO
144765-80-0
中文别名
英文名称
b-D-Glucopyranoside,2-(3,4-dimethoxyphenyl)ethyl 3-O-(2,3,4-tri-O-acetyl-6-deoxy-a-L-mannopyranosyl)-,2,6-diacetate 4-[3-[3,4-bis(acetyloxy)phenyl]-2-propenoate], (E)- (9CI)
英文别名
Brachyside heptaacetate;Brachynoside heptaacetate
分子式
C45H54O22
分子量
946.911
EINECS
熔点
沸点
毒性
@2009-2026 洛克化工网 浙ICP备16009103号