返回产品详情

139713-81-8

139713-81-8

范德(北京)生物科技有限责任公司

现货 北京市 北京

产品名称
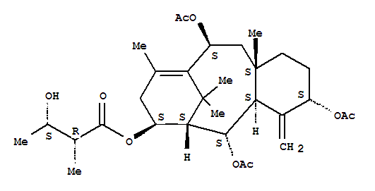
YUNNANXANE
CAS NO
139713-81-8
中文别名
英文名称
Butanoic acid,3-hydroxy-2-methyl-,(3S,4aS,5S,6S,7S,11S,12aS)-3,5,11-tris(acetyloxy)-1,2,3,4,4a,5,6,7,8,11,12,12a-dodecahydro-9,12a,13,13-tetramethyl-4-methylene-6,10-methanobenzocyclodecen-7-ylester, (2R,3S)-
英文别名
Butanoicacid, 3-hydroxy-2-methyl-,3,5,11-tris(acetyloxy)-1,2,3,4,4a,5,6,7,8,11,12,12a-dodecahydro-9,12a,13,13-tetramethyl-4-methylene-6,10-methanobenzocyclodecen-7-ylester, [3S-[3a,4aa,5a,6b,7b(2S*,3R*),11b,12ab]]-; 6,10-Methanobenzocyclodecene, butanoic acidderiv.; (+)-Yunnanxane; Yunnanxane
分子式
C31H46O9
分子量
0
EINECS
熔点
161℃
沸点
611.9°Cat760mmHg
毒性
@2009-2026 洛克化工网 浙ICP备16009103号