返回产品详情

65184-10-3

65184-10-3

范德(北京)生物科技有限责任公司

现货 北京市 北京

产品名称
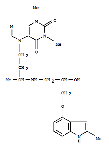
茶丙洛尔
CAS NO
65184-10-3
中文别名
茶丙洛尔
英文名称
1H-Purine-2,6-dione,3,7-dihydro-7-[3-[[2-hydroxy-3-[(2-methyl-1H-indol-4-yl)oxy]propyl]amino]butyl]-1,3-dimethyl-
英文别名
Teoprolol
分子式
C23H30N6O4
分子量
454.59
EINECS
熔点
146°C
沸点
747.6°C at 760 mmHg
毒性
@2009-2026 洛克化工网 浙ICP备16009103号