返回产品详情

888486-23-5

888486-23-5

范德(北京)生物科技有限责任公司

现货 北京市 北京

产品名称
肼,[(3,5-二氟苯基)甲基]-
CAS NO
888486-23-5
中文别名
肼,[(3,5-二氟苯基)甲基]-
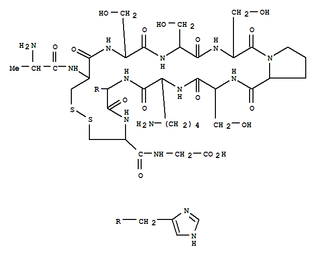
英文名称
Glycine,L-alanyl-L-cysteinyl-L-seryl-L-seryl-L-seryl-L-prolyl-L-seryl-L-lysyl-L-histidyl-L-cysteinyl-,cyclic (2®10)-disulfide (9CI)
英文别名
H-Ala-Cys-Ser-Ser-Ser-Pro-Ser-Lys-His-Cys-Gly-OH, (Disulfide bond)
分子式
C40H64N14O16S2
分子量
0
EINECS
熔点
沸点
1728.7±65.0 °C(Predicted)
毒性
@2009-2026 洛克化工网 浙ICP备16009103号