返回产品详情

28380-24-7

28380-24-7

范德(北京)生物科技有限责任公司

现货 北京市 北京

产品名称
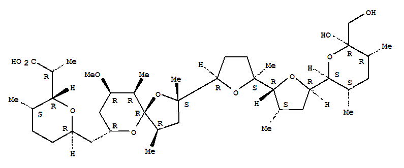
尼日利亚菌素
CAS NO
28380-24-7
中文别名
尼日利亚菌素;尼日利亚菌素95%;尼日利亚菌钠;尼日尼亚菌素
英文名称
Nigericin
英文别名
1,6-Dioxaspiro[4.5]decane,nigericin deriv.; Antibiotic K 178; Antibiotic M 2; Antibiotic X 464;Azalomycin M; Helixin C; Polyetherin A; Stereoisomer oftetrahydro-6-[[9-methoxy-2,4,10-trimethyl-2-[octahydro-2,3'-dimethyl-5'-[tetrahydro-6-hydroxy-6-(hydroxymethyl)-3,5-dimethyl-2H-pyran-2-yl][2,2'-bifuran]-5-yl]-1,6-dioxaspiro[4.5]dec-7-yl]methyl]-a,3-dimethyl-2H-pyran-2-aceticacid; X 464
分子式
C40H68O11
分子量
746.94
EINECS
熔点
183.5-185°
沸点
779.91 °C at 760 mmHg
毒性
@2009-2026 洛克化工网 浙ICP备16009103号